最新资讯
联系方式

转盘轴承的选型计算

发布时间:2013-08-19 浏览次数:644

刘志强 徐辉
(河北工程学院,邯郸 057150)
  1 前言
  转盘轴承是一种能够同时承受较大的轴向负荷、径向负荷和倾覆力矩等总荷载荷的特殊结构轴承。一般情况下,转盘轴承自身均带有安装孔、润滑油孔、密封装置、齿轮,可以满足各种不同工况下的工作主机要求;另一方面,转盘轴承本身具有结构紧凑、引导旋转方便,安装简便,维护容易等特点,因此广泛的应用于矿山、采掘、建筑、港口、医疗、导弹发射、雷达、航空航天等方面。
  转盘轴承根据结构类型可分为四点接触球轴承、双排角接触球轴承、交叉圆柱滚子轴承、交叉圆锥滚子轴承、三排组合圆柱滚子轴承,上述轴承又可分为外齿、内齿、无齿等不同结构。各种转盘轴承由于结构不同具有不同的特点:四点接触球轴承具有较高的动载荷承载能力,较高转速,低摩擦力矩;交叉圆柱滚子轴承具有较高的静承载能力;交叉圆锥滚子轴承具有较大的刚性和回转精度;三排组合圆柱滚子轴承能承受各种载荷,而且承载能力大,结构紧凑,但转速较低。
  在常规机械设计时,如何准确的选择轴承类型是设计人员必须考虑的一个重要问题,如何才能正确的选择轴承的类型呢?
  2 模糊模式
  作者从模糊数学的角度,引用模糊模式识别类型来进行轴承类型的选型。为了区分的方便,把各类转盘轴承分别用数学来代替:四点接触球轴承“1”、双排角接触球轴承“2” 、交叉圆柱滚子轴承“3”、交叉圆锥滚子轴承“4”、三排组合圆柱滚子轴承“5”。因此建立转盘轴承的类型集为:
  假设评价轴承性能的指标为
  P1——承受的总轴向负荷(KN);
  P2——力矩作用平面内轴承所受的总径向负荷(KN);
  P3——当量中心轴向负荷(KN);
  P4——当量倾覆力矩(KN•M);
  P5——轴承所受倾覆力矩(KN•M);
  P6——静负荷承载能力;
  P7——动负荷承载能力;
  P8——支撑刚性;
  P9——回转精度;
  P10——轴承转速;
  P11——轴承耐冲击能力;
  P12——轴承噪音。
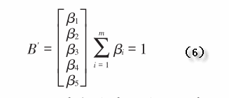
  因此建立转盘轴承选型的评价集
  根据各种转盘轴承的特点,确定各种类型的转盘轴承对评价集中各项评价指标的隶属度rij,从而确定出其模糊向量值,且其各项隶属度必须满足下式
  根据实际情况,确定出四点触球轴承针对评价集中各项的评价指标隶属度为:
  用同样的方法,确定出其他几种类型轴承的模糊向量并构成模糊关系矩阵R
  在分析轴承使用的工况,确定实际工况对评价集中各项指标的要求,由此可确定出他对评价集中各项的要求程度,构成模糊关系。
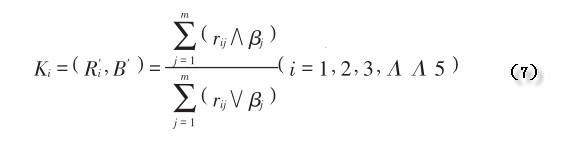
  利用Z大值Z小值贴近度公式计算出转盘轴承的贴近度为:
  式中:为模糊数学中的取“小”计算,为模糊数学中的取“大”计算。同理求出其余各项的贴近度如表1。
表1 各项贴近度
  由公式(7)可知,当rij与βj相贴近时Ki=1,因此,当贴近度大于时1,选取贴近度较小的轴承类型,当贴近度小于1时,贴近度Z大的轴承即为所要选择的轴承类型。
  3 结束语
  由于综合考虑了各种因素对转盘轴承使用性能的影响,采用模糊综合选型计算来处理各种因素的影响,从而比较客观的挑选出Z适合使用环境的传盘轴承。
  参考文献
  1.黄洪钟.模糊设计.北京:机械工业出版社,1999.11
  2.董玉革.机械模糊可靠性设计.北京:机械工业出版社,2000.10
来源:《轴承》2003年 第4期
服务热线:15618632192 / 15618783363
版权所有 © 上海堃旌轴承有限公司      ICP备:沪ICP备18003889号