最新资讯
联系方式

角接触球轴承实体保持架内径压印锁量工艺改进

发布时间:2013-06-03 浏览次数:680

康华 高国庆
(西北轴承股份有限公司,宁夏,银川 750021)
  我公司生产的角接触球轴承,部分保持架为青铜实体保持架。装配时,为了防止钢球从保持架内径方向掉出,产品图上规定钻孔后在保持架内径上压印。但在实际生产中,经常出现锁量过大或过小,因而造成装配困难。下面以QJ324Q4(176324QT)保持架为例,对压印锁量工艺的改进作一论述。
  
图1所示为产品图压印锁量尺寸,R、t和h由试压规定,其要求为装配时钢球从内径方向推入兜孔后不能掉出。原压印锁量为利用模具在压力机上完成,由于材料及内径公差的影响,压轻了不能锁住钢球,压重了装钢球时容易掉渣,造成装配困难。
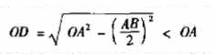
  图2所示为改进后的工艺,OA为保持架内径的尺寸,AB为孔的弦长,应小于或等于钢球直径。A、B两点的连线与兜孔中心线相交于D,则有
  这样就可以将原来的圆柱孔改为圆柱-圆锥孔,利用兜孔的弦长,在两点留出AB锁量,只要将原来的直刀改为带角度的刀(如图3中虚线所示),就会加工出图2所示的带锁量孔,此锁量与保持架为一整体,避免掉渣,锁量在钻孔时直接加工出来,省去一道工序。锁量的大小可以通过改变刀的角度及钻孔深度来控制,另外,锁量应考虑去除毛刺的影响。经过试装,效果非常好。

来源:《轴承》2000年第5期
服务热线:15618632192 / 15618783363
版权所有 © 上海堃旌轴承有限公司      ICP备:沪ICP备18003889号