最新资讯
联系方式

粗纱机传动振动产生原因及消除措施

发布时间:2013-06-04 浏览次数:610

王志坚 陈干
(江苏省中恒纺织有限公司)
  摘 要:分析了粗纱机上万向联轴器产生振动的原因,对其进行了改进,将花键套管加长,改变花健轴槽尾端尺寸,并调整差动装置输出齿轮与筒管齿轮的传动比,基本消除了振动,降低了噪声,延长了使用寿命。
  关键词:粗纱机;万向联轴器;振动;尺寸;传动比
  
万向联轴器花键结合式摆动装置,将安装在固定轴上差动装置输出的合成速度传递给随龙筋作升降运动的筒管轴。由于双万向联轴器传动的特点保证了输入轴的速度与输出轴的速度完全一致,基本消除了变速回转;花键轴在花键套筒内可以自由伸缩,以补偿龙筋升降时产生的传动距离变化。因而国内外新型粗纱机大多数采用了双联同步万向联轴器。但随着粗纱机的高速、大卷装后,生产中万向联轴器易引起较大的振动,机物料消耗严重,为此我们对万向联轴器进行了改造。
  1 振动产生原因
  粗纱机大卷装后导致粗纱成形轴向长度不断加大,从而增大了龙筋升降动程。万向联轴器与传动轴的Z大夹角比以前有较大增加,若输入轴为1,中间花键轴为2,其角速度之比的关系式为:
  其中,ω1为输入轴角速度,ω2为中间轴角速度,α为输入轴与中间轴夹角,β为主动轴的转角。
  上式表明:瞬时传动比i21随转角β作周期变
化。即当轴1以ω1等角速度转动时,轴2的角速度ω2作周期性变化,当β=0、π时,i21Z大,ω2max=ω1/cos α;当β=π/2、3π/2时,i21Z小,ω2min= ω1cos α可见。ω2的变化幅度与两轴夹角a 的大小有关,随着α的增大而增大。即轴2的加速度随着α的增大而增大,也就产生了附加动载荷和振动。粗纱机轴向长度越长振动越明显。实际使用中α一般不超过35°-45°。
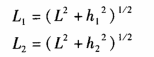
  由于龙筋的升降运动,花键轴在花键套管内伸缩,当α变大时花键轴与花键套管的联接段明显变短,花键轴与花键套管两轴在振动中会产生微小的夹角,破坏了动平衡,加大了振动。如图1所示,以TJFA458A型粗纱机粗纱成形为例,实际Z长成形380 mm、万向轴水平时压掌向下h1=170mm,压掌向上h2=210mm,水平时中间轴长度L=730mm,则:

 
  联接段长度α0=100
  粗纱机车速的不断提高,也增加了中间轴输入角速度。
  2 消除措施
  由于万向联轴器的传动特点,在使用过程中必须保证:输入轴、输出轴与中间轴的夹角相等;中间轴两端的叉面应位于同一平面内。对花键轴与套管进行改进,以便龙筋升降过程中花键轴在套管中伸缩联接段长度零变化,以保证花键轴与轴套的动平衡不受龙筋升降过程花键联接段长度的变化而恶化。为此:(1)将花键套管加长30
mm;(2)将花键轴槽尾端加工成直径为31mm,长为30mm,如图2所示。
  改变从差动装置合成速度输出齿轮室筒管齿轮传动比分配,降低输入速度ω1。如TJFA458A型粗纱机将差动装置输出齿轮与万向轴输人轴齿轮从68/38改为61/45,筒管轴齿轮与筒管齿轮从35/34改为40/29,输入轴转速为以前的74.6%。采用重定量大捻系数纺纱。在考虑所纺纤维种类、长度、细度、粗纱定量及细纱牵伸能力相匹配的前提下,尽Z大可能使用较大的捻度纺纱,满足粗纱大张力、紧卷绕、大卷装的要求。也即适当降低输入速度ω1
  3 改造效果
  通过以上措施基本消除了万向联轴器在传动中引起的振动,降低了噪声,延长了使用寿命,特别是对花键轴和轴套的改进,基本弥补了万向联轴器损坏后,使用时动平衡不良振动过大的缺点。既节省了机物料消耗又基本消除了振动。
  参考文献:
  [1]祝延青.Zinser660型粗纱机传动机构的改造(J).棉纺织技术,2002;30(8): 28.
  [2]胡玉华,粗纱机罗拉扭振产生原因及预防措施(J).棉纺织技术,2002; 30(10) : 53
来源:《棉纺织技术》第33卷第10期
服务热线:15618632192 / 15618783363
版权所有 © 上海堃旌轴承有限公司      ICP备:沪ICP备18003889号