轴承钢精炼过程中软吹处理对钢中夹杂物影响的研究
发布时间:2013-04-11 浏览次数:1029
杜显彬1 翟正龙1 张利平1 王静松2,3 曹立军2 薛庆国2
(1.莱钢集团公司技术中心;2.北京科技大学冶金与生态工程学院;3.北京科技大学博士后流动站莱钢工作站)
摘 要:本文介绍了莱钢轴承钢生产工艺及产品质量现状,研究了目前各生产环节夹杂物的变化。VD处理过程中,由于钢水沸腾卷渣,造成真空处理后钢中夹杂物大量增加,通过分析软吹处理过程夹杂物的变化指出,为保证轴承钢产品质量,必须保证软吹时间达到20至40分钟,夹杂物数量大量减少,产品质量较好。
关键词:轴承钢;LF-VD;软吹;夹杂物
轴承钢是具有一定代表性的特殊钢品种,由于其使用特点决定了对产品的疲劳寿命要求很高,而为提高轴承钢疲劳寿命必须做到钢成分的高纯净度和组织的高均匀度。世界Z先进的轴承钢生产企业日本山阳特殊钢公司生产的高碳铬轴承钢,氧含量达到5×10-6,Z低达到3×10-6[1]。国内轴承钢市场仍然是中低档次产品供过于求,高纯净度、高质量档次、高稳定性钢材供应不足,特别是氧含量≤8X10-6、钛含量≤15X10-6、控硫、控铝的高质量轴承钢还供不应求[2]。
近年来,莱钢轴承钢质量取得了长足的进步,通过对轴承钢生产工艺的开发和严格控制,使得产品质量处于国内领先水平,为进一步提高轴承钢质量,目前正在进行高品质轴承钢生产工艺开发研究工作。
1 莱钢轴承钢生产工艺流程[3、4]
莱钢特殊钢厂轴承钢冶炼工艺流程为:废钢+铁水—50t电弧炉(偏心炉底出钢)—LF-VD—连铸。
冶炼GCr15轴承钢的入炉钢铁料为35%-45%铁水,余量为优质废钢。冶炼过程为全程泡沫渣埋弧操作。根据溶清碳情况进行控碳操作,保证足够的脱碳量和脱碳速度。合金、脱氧剂和合成渣在出钢时加入,同时包底吹氩搅拌,促进钢水预脱氧和合金化效果,以保证在进入精炼时良好的液渣层,利于精炼升温、脱氧和脱硫。
LF精炼采用SiC扩散脱氧,送电过程氩气低流量搅拌,适时喂入铝线,促进渣钢反应和Al2O3夹杂上浮,同时保证钢液不裸露,控制一次样铝含量;取样后保持白渣操作,以使精炼渣在具有强吸附夹杂物能力的同时又能保证脱氧脱硫效果。
LF精炼结束进入VD工位前,扒掉部分精炼渣,加入调渣剂,调整渣组成,增强真空脱气和吸附钢中夹杂物的效果,以获得低氧高洁净度轴承钢。
浇铸过程钢包加包盖保温,减少浇铸过程中钢液面下降高温包衬裸露向外界的散热,中间包加盖并适时加覆盖剂和炭化稻壳减少散热,保证过程温度平稳稳定拉速,使同炉中间包钢水温差波动在5℃以内,中间包钢水温度可控制在1470-1480℃钢包浇铸加长水口吹氩保护,中间包铸流加浸入式水口保护,减少钢液二次氧化和吸气。二冷配水采用气-雾冷却方式,采用外置式M-EMS,置于结晶器中下部,通过铸流内钢水的运动来均匀温度,消除过热,析出气体及促使夹杂物上浮,使铸坯获得良好的表面质量。
目前轴承钢氧含量已降低到7.9×10-6,Z高为10×10-6,夹杂物级别低,分布均匀,未出现C类和D类夹杂物,并消除了碳化物液析现象。
为进一步提高轴承钢质量,对生产工艺流程进行细致的研究工作,以生产更高质量轴承钢产品。本文介绍了钢中夹杂物在不同生产工艺环节的变化,特别是钢水经真空处理及软吹后夹杂物数量的变化,并分析了其变化规律。
2 各工序夹杂物变化
在开发高品质轴承钢的过程中,为研究钢中夹杂物含量、类型等在不同工艺环节的变化,对整个生产工艺流程进行了夹杂物变化分析。研究方法是对不同生产状况特别针对软吹时间不同条件下,生产工艺流程中的不同工艺环节进行时序取样,取样采用金属样杯,样品尺寸为φ30×60,采用定量金相分析的方法,研究各个工艺环节夹杂物数量的变化。
图1为现有生产流程下轴承钢金相图片,图中夹杂物为轴承钢中典型夹杂物,其中1为硫化物夹杂、2为硅铝酸盐夹杂、3为氮化钛夹杂。

将各工序所取试样进行定量金相分析,将结果绘制成图2所示的各工序夹杂物变化散点图。本文重点研究VD处理、软吹对钢中夹杂物数量的影响,而不考虑夹杂物成分和类型的变化。图2纵坐标为通过定量金相分析计算出的夹杂物所占面积比,横坐标为不同工艺环节。LF开始5min试样为LF精炼开始5min后合成渣基本成渣时取样;LF结束试样为精炼结束电极升起时取样,VD结束试样为真空处理结束开罐后取样;软吹结束试样为软吹结束准备上台浇注时所取试样;中间包试样为大包开浇稳定后十分钟取样。从图中可以看出,由于LF处理时采用低流量吹氩操作,因此在LF处理结束时,夹杂物数量较少。经过VD处理后,由于在真空罐内钢水剧烈翻滚,熔渣大量卷入钢水来不及上浮造成钢中夹杂物数量大量增加。图中实线为软吹时间较短时夹杂物变化,虚线为软吹处理时间较长时夹杂物变化。软吹处理后,由于实际操作过程中,软吹处理时间从15min到40min不等,造成软吹结束后夹杂物数量波动,直接导致中间包钢水中的夹杂物数量波动达4倍以上。
3 结果分析与讨论
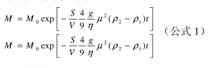
根据文献[5]中公式4-19,t时刻氧含量与时间存在一定关系,由于钢中氧含量与夹杂物数量关系,可以将式4-19转换成时刻钢中夹杂物量与时间的关系式为:
式中:
M—t时刻夹杂物数量
M0—初始夹杂物数量
S—钢水面积,m2
V—钢水体积,m3
G—重力加速度,m/s
η—粘度系数,kg.s
μ—夹杂物平均直径,m
p1—1600℃钢水密度,kg/m3
p2—1600℃熔渣密度,kg/m3
公式1表征了钢液中夹杂物含量与初始夹杂物含量、钢渣界面积、钢液容积、钢液粘度系数、夹杂物平均直径、夹杂物上浮时间等参数之间的关系。按照吨LF-VD设备条件以及有关文献所给数据,即取钢液深度为2.9m,钢包半径为1.25m,钢包近似地认为为直筒型。将g=9.8m/s,η=7×10-4/Kg.s,ρ1=2500Kg/m3,ρ2=6900Kg/m3,μ=7.1×10-6m等数据代入式1得:
对式2作图得吹氩处理时钢中夹杂物去除率曲线(图3),纵坐标为钢中夹杂物去除率(M/M0),横坐标为吹氩处理时间。
通过图3可以得出,当吹氩处理时间达到20min时,夹杂物去除率可以达到80%,吹氩处理时间超过20min后夹杂物去除速度明显降低,但是随软吹时间延长,夹杂物数量继续减少,达到40min时95%左右的夹杂物都被去除。考虑到具体生产工艺和生产调度,VD处理后的软吹时间应保持20min以上,为获得更低氧含量的轴承钢,需要进一步延长吹氩时间,调整吹氩工艺,以保证夹杂物进一步去除。
4 结论
1)轴承钢VD处理过程中,由于熔渣卷入造成钢中夹杂物大量增加;
2)为保证轴承钢产品具有较低的氧含量,VD处理后必须保证软吹时间达到20min以上;
3)为进一步降低钢中氧及夹杂物含量,应进一步加强VD处理、软吹处理等工序操作。
参考文献
1 焦晓谕编译. 世界轴承钢生产现状及发展.中国冶金, 2006, (3):40~41
2 中国特殊钢产业研究分析报告,2005:100~101
3 李法兴, 兰新哲, 宋永辉等. 莱钢50tEBT-EAF-LF(VD)-CC生产GCr15轴承钢的工艺实践. 特殊钢. 2006, 27(3): 57~58
4 孙永喜, 李猛, 申景霞等. 莱钢GCr15高碳铬轴承钢生产工艺及质量状况. 山东金属学会2005炼钢学术交流会议文集. 山东. 2005: 122~125
5 王平. 轴承钢脱氧工艺与理论的研究. 博士学位论文. 北京:北京科技大学. 1991
(2007年炉外精炼年会论文集 2007年7月)