最新资讯
联系方式

美国MPIF标准35《粉末冶金自润滑轴承材料标准》1998年修订简介

发布时间:2012-12-05 浏览次数:1054

韩凤麟
  编者按:轴承是机电工业的一类重要通用基础件,据《中国机电日报》2000年1月19日第6版报道,2000年我国滚动轴承的总生产能力为23亿套,其中中小尺寸普通级滚动轴承可达21亿套。但很少有人注意到,据初步估计,我国微小型粉末冶金自润滑轴承,即含油轴承,1999年销售量已超过20亿只,且大部分销往国外。全世界微小型含油轴承年产量已近百亿只。为适应我国粉末冶金含油轴承生产发展需要,特向有关生产厂家与用户推荐美国MPIF标准35《粉末冶金自润滑轴承材料标准》1998年版。这是国内外Z新的《粉末冶金自润滑轴承材料标准》,值得研究与借鉴。
  轴承可定义为一种在其中有另外一种元件(诸如轴颈或杆)旋转或滑动的机械零件。依据轴承工作时摩擦的型式,它们又分为滚动轴承与滑动轴承。滑动轴承之中自身具有自润滑性的轴承叫做含油轴承或自润滑轴承。用粉末冶金法制造的金属基含油轴承通称为粉末冶金自润滑轴承或烧结金属含油轴承。
  粉末冶金自润滑轴承是音像设备、微特小型马达、办公机械、电动工具、洗衣机、电风扇、缝纫机、复印机等中不可缺少的一类轴承。据笔者估计,1999年我国微特小型粉末冶金自润滑轴承的年产量已达到25亿只左右。虽然我国早在1953年就已开始生产粉末冶金自润滑轴承,也制订过相应的国家标准[1],诸如GB2685-81《粉末冶金筒形轴承型式、尺寸与公差》、GB 2686-81《粉末冶金带挡边筒形轴承型式、尺寸与公差》、GB 2687-81《粉末冶金球形轴承型式、尺寸与公差》及GB 2688-81《滑动轴承粉末冶金轴承技术条件》,但是,这些标准自发布之日起,就从未进行过修订,已不能适应当前科技发展与生产的需要。
  标准化组织(ISO)1996年对ISO 5755《烧结金属材料-规范》进行了修订[2]。但其中关于粉末冶金自润滑轴承材料的牌号较少,也没有关于轴承设计与应用的说明。
  美国金属粉末工业联合会(MPIF),自1965年发布《粉末冶金自润滑轴承》材料标准以来,先后于1974、1976、1986、1990及1998进行了修订。1998年版[3]比1990年版[4]增加了4个材料牌号,在工程知识方面也增加了一些新内容。
  美国金属粉末工业联合会(MPIF)1998年修订的《粉末冶金自润滑轴承》材料标准[3]是当前关于《粉末冶金自润滑轴承》Z新的一份材料标准。这份标准对于我国粉末冶金自润滑轴承的生产厂与用户都具有重要的参考价值。特全文介绍如下。
  1 注释与推荐的做法
  1.1Z小值概念
  对于粉末冶金材料,MPIF采用了Z小性能值概念。在设计粉末冶金轴承时,可能会采用诸如含油量与径向压溃力这些值。化学组成、密度,和在一些场合,径向压溃力也都列出了Z大值。利用不同的化学组成、颗粒形状、密度和或工艺技术可达到同样的性能,这是粉末冶金的一大优点。
  Z小值是由产需双方确定的在一个生产批量中所有轴承在统计上都要超过的值。产需双方应商定取样方法。
  需方应选择和详细说明对于具体应用Z合适的粉末冶金材料与性能系统。提供的数据规定了列举的材料的值与给出了Z低性能。利用较复杂的工艺过程还可改进使用性能。为了选择一种在性能与价格上都可行的Z佳材料,和粉末冶金生产厂家讨论轴承的用途是很重要的。
  利用MPIF标准35拟订粉末冶金轴承的技术条件,意味着除非产需双方另有协议外,材料性能至少具有标准中规定的Z小值。
  1.2牌号选择
  在选择一种特定的材料牌号之前,需要对包括尺寸公差在内的轴承设计与其Z终用途进行细致分析。此外,还应考虑成品轴承的Z终性能要求,例如密度、孔隙度、抗压强度、耐蚀性、耐磨性、含油量、油的种类、表面粗糙度及和应用相关的任何其他要求。建议在Z终选定材料牌号之前,产需双方间就上述各个方面进行讨论。
  除了本标准中已标准化的轴承材料之外,还有可用于特殊用途的拥有专利的其他材料。
  (关于设计的建议和与正确使用粉末冶金自润滑轴承有关的其他知识见MPIF出版的粉末冶金设计手册。)
  1.3名称
  在前缀字符代号之后的4位数字指的是材料组成。
  在有色金属材料中,4位数字系列的前2位数字表示主要合金化组份的百分含量。4位数字系列的后2位数字表示次要合金化组分的百分含量。代号中虽未包括其他次要元素,但在每一种标准材料的“化学组成”中都已给出。粉末冶金有色金属材料牌号代号举例如下:
  在铁基材料中,主要合金化元素(除化合碳外)都包括在前缀字符代号中,代号中虽不包括其他元素,但在每一种标准材料“化学组成”中都已将它们列出。4位数字代号前2位数字表示主要合金化组元的百分含量。K代表径向压溃强度,以103psi表示。
  在4位数字系列中,Z后2位数字表示铁基材料的化合碳含量。在代号系统中,冶金化合碳的范围表示如下:
  化合碳范围代号 表示方法
  0.0%~0.3%   00
  0.3%~0.6%   05
  0.6%~0.9%   08
  铁-石墨轴承的碳含量范围代号 表示方法
  0.0%~0.5%          03
  0.5%~1.0%          08
  铁基材料牌号代号举例:
  后缀2位数字表示系数K的Z小值,K是以103psi表示的。需方可根据粉末冶金材料的化学成分预计K值。字符K表示轴承材料牌号。
表1 粉末冶金材料牌号代号举例
前缀字符代号
 
  1.4化学组成
  每种材料的化学组成都列出了主要元素质量百分含量的Z小与Z大值。其他元素包括用差减法求出的所有其他元素。这些元素可能包括为特殊目的添加的其他次要元素与各个组份中含有的常量无关元素。 
  粉末冶金自润滑材料的化学组成规范表述的是烧结态材料。诸如精整、切削加工、滚磨或浸油之类后续作业都可能改变化学分析的结果。只要取样(钻取切屑)时未受到油或氧化物之类污染,就不会妨碍检验烧结态零件的化学组成。在某些场合,不管是为了精整还是为了润滑含浸的润滑剂,用Soxhlet萃取法(ASTM B 328)都可以部分地除去。
  经过精整、滚磨、切削加工或含浸处理的零件都会被含碳材料污染,因此,在定碳之前必须将含碳材料除去。还无法将某些这类污染材料完全除去;因此,也就无法测定出精确的含碳量。铁中的化合碳含量可用全相估计珠光体的面积百分率来测定:100%珠光体约等于0.8%碳。
  1.5显微组织
  可将粉末冶金轴承显微组织的检验作为一种诊断手段,用来揭示烧结程度和对粉末冶金制造过程至关重要的其他冶金信息。兹就对大多数烧结材料通用的几项检查叙述如下。
  在选择显微组织分析用粉末冶金零件磨片时,对于镶样与研磨建议采用平行于压制方向的内平面。应将粗与精抛光一直继续到估计所有孔隙都已被显露出来。孔隙的面积百分率表示零件的密度。例如,80%致密的轴承,其孔隙占有的面积应约为20%。
  在制备显微组织检验用的试样时,像为自润滑设计的这些低密度材料,必须浸以镶样树脂。这将有助于防止切削加工或抛光时孔隙发生畸变。烧结轴承往往首先在未腐蚀状态下进行检验。在正常的烧结件中,于200×下将极少或不会看出原始颗粒界。必须用Soxhlet萃取法除去轴承中含有的油,从而,它不会干扰显微镜检验。对未腐蚀的内径表面的检验应显示出表面的孔隙度。
  在90-10铜-锡青铜轴承中,组织应为α青铜与Z少量淡红色富铜区,和没有灰色的铜-锡化合物。在铁-铜轴承中,铜应熔化和流到周围的小孔隙中。含铜量为5%到10%时,将可以看出铜的熔化区域。含铜量为2%或更少时,一般不会有游离铜存在。 轴承组织中显示的原始颗粒界应Z少。“低”青铜的显微组织兼有铁与青铜组织的外观。
  依据制造工艺过程,铁-石墨材料的显微组织中或者含有游离石墨或者含有游离石墨/化合碳的混合物。为了在金相检验时能保持住石墨,在粒度为400与600的SiC砂纸上进行粗磨,然后于中等压力下,在250r/min的抛光盘上的短绒毛布上,用粒度1μm的金刚石抛光2~6min。
  2 定义与公式
  2.1含浸油
  低密度粉末冶金零件或轴承中的可控、连通孔隙结构使着其可含浸以润滑油。从而,就赋予它们以自润滑性能。当零件摩擦发热时,油膨胀与流至轴承表面。在运转中,当轴旋转时,油就从轴承中被“抽出”。冷却时,油又借助毛细作用被吸入金属的孔隙中。粉末冶金轴承按容积一般可吸收10%~30%的油。含浸油是用真空技术或用在加热的油中浸泡零件来实现的。 (见本文“8”关于这方面的进一步的工程知识)。
  2.2孔隙度
  孔隙度是轴承中孔隙容积所占的百分率。它是密度的余数。理论密度为85%的轴承,其孔隙度为15%。轴承中的孔隙如同海绵一样,呈伸展到表面的互通孔隙网络状。连通孔隙度对于自润滑轴承的使用性能很重要,是这类材料技术条件中的一项性能。
  孔隙度的计算如下:
  式中:Po-连通孔隙度的容积百分率;
     A-无油试样在空气中的质量,g;
     B-含油试样在空气中的质量,g;
     C-悬挂与浸在水中的含油试样的质量,g;
     S-在试验温度下,含浸剂的密度,g/cm3
     E-浸于水中的悬挂丝或筐的质量(皮重),g;
     ρw-在试验温度下蒸馏水的密度。
  另外:
  (1)所有称量都要用分析天平精密到0.1%。
  (2)蒸馏水中应添加0.1%~0.2%(质量分数)润湿剂,以将称量试样时水的表面张力的影响减小到Z小限度。
  (3)试样的质量Z少为2g。
  (4)用来在水中悬挂试样的细丝的直径应为0.12~0.25mm。沉入水中时,试样或丝上都不得附着有空气泡。
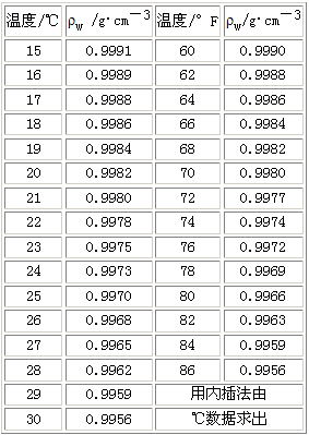
  (5)水的密度根据表2确定。
表2 温度对水的密度的影响
  注:1.表中值取自“Metrological Handbook 145,Quality Assurance for Measurement,”1990,NIST,p9、10,和表示的是在空气中于1大气压下的值;
  2.关于详细的情况见MPIF标准42。
  2.3接收状态轴承的容积含油率
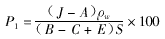
  含油率(P1)表示接收状态轴承孔隙中充填的油的容积百分率。
  容积含油率可计算如下:
  式中:P1-接收状态轴承的容积含油率,%; 
     J-接收状态含油试样在空气中的质量,g;
     A-无油试样在空气中的质量,g;
     B-含油试样在空气中的质量,g;
     C-悬挂与浸于水中的含油试样的质量,g;
     S-在试验温度下浸渗剂的密度,g/cm3
     E-浸于水中的悬挂的丝或筐的质量(皮重),g;
     ρw-在试验温度下蒸馏水的密度。
  另外:
  (1)所有称量都用分析天平精密到0.1%。
  (2)蒸馏水中应添加0.1%~0.2%(质量分数)润湿剂,以将称量试样时水的表面张力的影响减小到Z低限度。
  (3)试样的质量至少应为2g。
  (4)用来在水中悬挂试样的细丝的直径应为0.12~0.25mm。当沉入水中时,试样或丝上都不得附着有空气泡。
  (5)水的密度根据表2确定。关于更详细的情况见MPIF标准42。
  2.4密度
  “干密度”是不含油的粉末冶金轴承单位容积的质量。“湿密度”是含浸以油或其他非金属材料的粉末冶金轴承单位容积的质量。通常,结构零件的密度报告的是未含浸油的“干密度”,和轴承的密度报告的是充分含浸油的“湿密度”。(关于更详细的情况见MPIF标准42)。
  一种常用的计算密度的方法如下:
  式中:D-密度,g/cm3
     A-无油试样在空气中的质量,g;
     B-含油试样在空气中的质量,g;
     C-悬挂和浸于水中的含油试样的质量,g;
     E-悬挂的丝与筐在水中的质量(皮重),g;
     ρw-在试验温度下蒸馏水的密度。
  另外:
  (1)所有称量都用分析天平精密到0.1%。
  (2)当购进的轴承是浸过油的,它们应以接收状态进行测量,以确定质量B与C。对于测定不含油的质量A,试样一般要用Soxhlet萃取法将油除去。这种干质量稍高于原先未浸油的质量。
  (3)蒸馏水中应添加0.1%~0.2%(质量分数)润湿剂,以将称量试样时水的表面张力的影响减小到Z低限度。
  (4)试样的质量应不少于2g。
  (5)用来悬挂水中试样的细丝的直径应为0.12~0.25mm。沉入水中时,试样或丝上不得附着有空气泡。
  (6)水的密度是由表2确定的。关于更详细的情况见MPIF标准42。
  2.5径向压溃力
  轴承的理论径向压溃力是强度系数“K”与轴承尺寸的函数。在粉末冶金轴承中,径向压溃力应计算如下:
  式中:P-径向压溃力,N;
     D-轴承外径,mm;
     t-轴承壁厚,mm;
     L-轴承长度,mm;
     K-强度系数,MPa。
  另外:
  (1)当轴承的壁厚大于其外径的30%时,这个公式不适用。
  (2)关于强度系数“K”值见本文“7”粉末冶金轴承材料性能。
  实际的径向压溃力是用在二平面间压缩试验的轴承确定的;载荷的方向要垂直于轴承长轴。
  (关于更详细的情况见MPIF标准55)。将轴承开始开裂时载荷减低的点确定为压溃力。试验适用于圆筒形轴承。带法兰的轴承应将法兰盘切掉后,用分别压缩两部分进行试验。
  球形轴承应切削加工成圆筒状。每一部分都要符合这个标准(粉末冶金轴承材料性能)规定的Z小强度要求。这是将测定的压溃力和用在相应Z小性能表中给出的常数“K”计算值进行比较来证明的。有时,球形轴承是根据产需双方商定的比较试验法或经验公式,在不切削加工的生产状态下检验球形轴承的径向压溃力。
  3 保管
  为防止轴承中含浸的油损失,含油轴承要存放在非吸收性容器中。它们还应该防尘和防污染。产需双方应就制成品表面的状态进行协商。
  不推荐在浸油之前用氯化溶剂来除去油或清洗轴承表面。因为残留的溶剂趋向于形成弱酸,有可能使轴磨损。
  4 表面粗糙度
  在表面粗糙度影响轴承功能的地方,其表面Z好是很平滑的;可是,由于粉末冶金零件具有多孔性,用测头类仪器一般进行的锥形探针测量,测量不出表面的真实粗糙度。这是因为相互连通的表面孔隙比金属中的表面凹凸不平深。
  产需双方应商定表面粗糙度的规范与测量方法,但不要忽视了配合轴的表面粗糙度的影响。
  5 SI单位
  数据都是用英制单位测定的,和根据ASTM标准作法 E380转换成了SI单位。
  6 可比较的标准
  ASTM与ISO都发布有粉末冶金自润滑轴承标准。ASTM标准采用的化学组成与密度范围和这个MPIF标准相同。ISO标准仅只提供了有限数量的合金系统(铁、铁-铜及青铜)的资料。
  ASTM B 438 烧结青铜轴承标准规范。
  ASTM B 439 铁基烧结轴承标准规范。
  ASTM B 612 铁青铜烧结轴承标准规范。
  ASTM B 782 铁石墨烧结轴承标准规范。
  ISO 5755 烧结金属材料-规范表1含浸以液体润滑剂的轴承材料。
  7 粉末冶金轴承材料性能
  7.1青铜轴承
  青铜轴承的材料牌号、化学组成和性能示于表3。
  低石墨青铜轴承含锡量10%和石墨含量不大于0.3%。这种青铜具有耐蚀性。在密度6.4g/cm3下,这种材料可保证一定的韧性,并可承受振动负载。这种材料可以打桩。这种材料的轴承可用于分马力马达、农具、设备、机床等。密度较高(6.8g/cm3)时,它具有更高的韧性,并可支承较高的负载。密度较高时,轴承的含油量较少,因此,这种材料可用于速度较低的工况。鉴于它们的强度,这种材料往往用于结构零件与轴承的复合件。
  中等石墨含量的轴承材料,其石墨含量为0.5%~0.8%,这种材料的轴承用于重负载与高速和普通磨蚀条件下。
  石墨含量大于3%的轴承运转非常平静。它们趋向于需要较少的现场加油和在稍高温度下使用。它们常常用于摆动或间歇转动的工况。
  7.2铁与铁-碳轴承
  铁与铁碳轴承的材料牌号、化学组成与性能示于表4。
  密度为5.6~6.0g/cm3的普通铁可用作中等负载的轴承材料。一般这种材料比90-10青铜的硬度与强度高一些。化合碳与铁形成钢轴承,其强度比纯铁高,同时径向压溃力较大,耐磨性与抗压强度较高。化合碳含量大于0.3%的轴承可进行热处理,以全面改善其力学性能。
  7.3铁-铜轴承
  铁铜轴承的材料牌号、化学组成与性能列于表5。
  为了改进烧结件的强度与硬度,可在铁中添加铜:一般铜的添加量按质量为2%、10%或20%。添加20%(质量分数)铜时,轴承材料的硬度与强度都比90-10青铜高,另外还具有好的振动荷载能力。这类材料往往用于需要极好地兼具好的结构性能与轴承特性的用途。
  7.4铁-铜-碳轴承
  铁-铜-碳轴承的材料牌号、化学组成和性能列于表6。
  在铁-铜材料中添加0.3%~0.9%(质量分数)碳可大大强化材料。另外,这些材料还可用热处理硬化。这类材料具有高的耐磨性与高的抗压强度。
表3 青铜轴承的材料牌号、化学组成及性能
  (A)这些数据都是基于制成品的材料;(B)含油的,假定油的密度为0.875g/cm3;(E)在石墨含量(5%)与密度Z高(6.6g/cm3)的条件下,这种材料中只含有微量油。在3%石墨与6. 2~6.6g/cm3密度下,其含油率可能为5%~10%(体积分数);(F)随着密度增高,Z小含油率将减小。表中所示之值在给出的密度上限都是有效的;(G)含铁量的Z大值为1%;(H)对于Z小含油率27%,密度范围为5.8~6.2g/cm3,常数K为105MPa;(I)对于Z小含油率25%,密度范围为5.8~6.2g/cm3,常数K为90MPa。1998年版;审定1996;修订1998。
表4 铁与铁-碳轴承的材料牌号、化学组成和性能
  (A)这些数据都是基于制成品的材料;(B)含油的,假定油的密度为0.875g/cm3;(D)冶金化合碳。1998年版;审定1986;修订1998。
表5 铁-铜轴承的材料牌号、化学组成和性能
  (A)这些数据都是基于制成品的材料;(B)含油的,假定油的密度为0.875g/cm3;1998年版;审定1986;修订1998。
表6 铁-铜-碳轴承的材料牌号、化学组成和性能
  (A)这些数据都是基于制成品的材料;(B)含油的,假定油的密度为0.875g/cm3;(D)冶金化合碳是基于含铁量;1998年版;审定1986;修订1990,1998。
  7.5低青铜轴承
  低青铜轴承的材料牌号、化学组成和性能列于表7。
  为减轻材料费用,青铜可用40%~60%(质量分数)铁稀释。为了自润滑,这些轴承通常都含有0.5%~1.3%(质量分数)石墨。轴承要烧结到化合碳含量具有Z小值。这类轴承用于轻-中等荷载与中等-高速度条件下。往往用它们替代分马力马达与器具中的青铜轴承。化合碳含量超过Z大值时,可能会形成噪声的与硬的轴承。“总碳”的定义是冶金化合碳(见“1.4”化学组成)与游离石墨之和。
表7 低青铜轴承的材料牌号、化学组成和性能
  (A)这些数据都是基于制成品的材料;(B)含油的,假定油的密度为0.875g/cm3;(J)冶金化合碳的Z高含量为0.5%。1998年版;审定1986;修订1998。
  7.6铁-石墨轴承
  铁-石墨轴承的材料牌号、化学组成和性能列于表8。
  铁中添加以石墨和烧结到含有化合碳,从而,大部分石墨可用于进行辅助润滑。这些材料具有优异的阻尼特性,因此,可制成运转平静的轴承。为了润滑,所有材料都可含浸以油。化合碳含量超过Z大值时,可能形成有噪声的与硬的轴承。“总碳”的定义是冶金化合碳(见“1.4”化学组成)与游离石墨(脚注[C]与[D])之和。
表8 铁-石墨轴承的材料牌号、化学组成和性能
  (A)这些数据都是基于制成品的材料;(B)含油的。假定油的密度为0.875g/cm3;(C)石墨碳也称为游离碳;(D)冶金化合碳。1998年版;审定1986;修订1998。
  8 粉末冶金自润滑轴承设计须知
  已证明下述设计资料有助于轴承与衬套系统的设计。这些值一般都是有效的,但具体应用时也可能有例外。告诫使用者,利用这些资料(表9)时要和轴承制造厂家磋商。
  轴承荷载(P)是用力(N)除以轴承投影面积(mm2)算出的。速度(V)是轴的速度(m/min)。PV极限值高的含油轴承比PV极限值低者可承受较高的荷载或在较高的旋转速度下使用。轴承的PV极限值是轴承自身与其环境二者的函数。环境可在以下4个方面减低容许的PV极限值:
  (1)妨碍轴与轴承之间形成油膜者。诸如转速低、停止/起动作业、轴表面过于平滑或过于粗糙、振动、轴失圆、间隙过大、润滑油不充分或精整作业差。
  (2)妨碍摩擦热散失者。诸如轴承座导热性小、附近缺少散热装置或环境温度高。
  (3)轴承中产生的摩擦能量损失趋向大于常规值者。这方面的一个例子是使用的润滑剂黏度高。
  (4)轴上荷载分布不均匀者。诸如不同轴性、轴挠曲或使用长径比大的轴承。
  在要求轴承使用寿命较长的场合,PV极限值应设计的小一些。
  钢轴承,即含冶金化合碳的铁基轴承可进行热处理,以增高强度;但需方必须清楚,在这种场合,关于压配合与公差的数据可能就都不再适用了。
  在粉末冶金轴承在固定轴上旋转的场合,惯性力可能使油从外露的轴承部分漏失。有时,可用甩油环补充吸油的方法,使油返回到多孔性蓄油体内。
  
表9 标准荷载
   注:式中,P-轴承投影面积(轴承长度×内径)的荷载,MPa;V-轴的速度,m/min。
  8.1压配合
  圆筒状轴颈轴承一般都是用一装配心轴将轴承压装于轴承座中。对于刚性足以承受压配合而不会产生明显变形的轴承座,和对于壁厚约为轴承外径1/8或更大的轴承,推荐采用表10示之压配合。例如,对于一直径12.5mm的轴承,可采用的轴承座孔直径为12.43~12.47mm。
  推荐用心轴支撑着内径将轴承压入轴承座孔中。例如,对于一内径为19mm的轴承,心轴直径应比所要求的Z终尺寸大0.008mm左右。Z好采用心轴安装而不要用铰刀Z终铰孔,因为铰削可能会封闭表面孔隙。
  
表10 推荐的压配合
  8.2运转间隙
  轴承的合适运转间隙基本上取决于其具体用途。表11中只列出了对用于磨削加工的钢轴的含油轴承推荐的Z小间隙值。例如,对于一直径12.5mm的轴,至少应采用内径为12.51mm的青铜轴承。
表11 运转间隙
  8.3套筒状轴承的尺寸公差
  对于Z大长度对内径之比为4/1与Z大长度对壁厚之比为24/1的青铜基轴承,和对于Z大长度对内径之比为3/1与Z大长度对壁厚之比为20/1的铁基轴承,可采用表12、13中的数据。而比率大于这些值的轴承不宜采用这些数据。
表12 推荐的公差(1)
  ①表中的值适用于长度不大于50mm的轴承。对于长度大于50mm的轴承,长度每增加25mm直径公差应增加0.013mm;②同轴度和材料无关;③表中的值适用于长度不大于25mm的轴承。对于长度大于25mm者,长度每增加25mm,同轴度公差应增大0.013mm。
表13 推荐的公差(2)
  ①法兰的尺寸一般不严格;因此,它们只需达到应用所需要的精度。A级公差可能需要补充加工。
  ②对于带法兰的轴承,主体的公差(内径、外径、长度及同轴度)都和圆筒状轴承相同;虽可达到较精密的公差,但可能需要补充加工;A级:为达到公差,需要补充加工,诸如精整,认为是常用的制造方法;B级:于烧结、未精整、含油状态下使用,通常不需要补充加工,认为是不常用的制造方法。
  致谢:仅向赠送MPIF Standard 35 Ma terial standards for P/M Sel f-lubricating Bearings,1998edition 原版的QMP(Asia Pacific)致以谢意。
  主要参考文献
  [1] 韩凤麟编著.粉末冶金机械零件.北京:机械工业出版社,北京第二次印刷,1990 :526
  [2] 廖寄乔,韩凤麟.ISO5755:1996修订“烧结金属材料一规范”简介.粉末冶金工业,1999,9(2):24~42
  [3] MPIF Standard 35 Material standards for P/M Self-lubricating Bearings,1 991-1992 Edition.
  [4] MPIF Standard 35 Material standards for P/M Self-lubricating Bearings,1 998 Edition.
来源:《粉末冶金工业》2000 No.3
服务热线:15618632192 / 15618783363
版权所有 © 上海堃旌轴承有限公司      ICP备:沪ICP备18003889号