滑动轴承Z小油膜厚度的模糊优化设计
发布时间:2012-10-18 浏览次数:703
作者:关凯书 张丽 王少华
摘 要:本文利用模糊数学优化的基本思想和方法,提出了滑动轴承润滑的模糊优化设计方法,给出了滑动轴承Z小油膜厚度的求解方法,并给出了实例。
关键词:滑动轴承;模糊优化;润滑
目前采用优化设计方法设计滑动轴承大都是对轴承结构的单目标优化设计,而对多目标优化设计很少,而在单目标优化设计中,对不确定因素的影响也很难顾及,基于这种情况,便提出模糊优化设计。
1 模糊优化设计概念
模糊优化设计是一种包含有种种模糊因素的设计,即边界上不清楚。轴承设计中,Z主要的是要保证轴承在液体润滑条件下工作,即油膜厚度h或膜厚比λ(油膜厚度h与摩擦表面综合精糙度δ的比值)究竟取多大时才满足液体润滑要求,目前尚不十分清楚,只是给出了大致范围,即膜厚比λ>3~4时为完全液体润滑,λ<1时为边界润滑,而1<λ<3时处于二者之间。液体润滑的边界处于模糊状态,从而使λ或h也处于模糊状态。当优化设计涉及以上模糊概念时,就是模糊优化设计。在模糊区进行优化,效果会大大提高,同时也可考虑不确定因素的主观信息,使优化结果更具有实际意义。
2 模糊优化模型
为描述完全液体润滑与边界润滑过渡状态,需建立液体润滑状态的隶属函数,函数如下[1]:

上式中,H(λ)是λ对流体润滑的隶属程度,给定λ值可判断它在多大程度上属于完全流体润滑。以安全可靠角度考虑,应取λ>4,但从功率损耗上考虑,λ的值在2.2左右时摩擦系数Z低[2]。所以应对λ值整体优化。
轴承设计中,要保证Z小油膜厚度hmin或膜厚比大于规定值,以便满足液体润滑要求,而液体润滑下边界是不确定的,从而使hmin或膜厚比也处于不确定状态,只是限定在一个模糊集合中。实际中要对模糊概念有个明确的认识和判定,可用模糊集合的截集解决。
取一置信水平或阈值α,得截集Hα,Hα是H的截集,它是由那些对模糊集合的隶属度不小于α的成员构成的,即Hα={H(λ)≥α,α∈[0,1]}。选取不同的α可得到不同的集合Hα,Hα不再具有模糊性,可通过优化方法确定α值,优化方法如下:
首先求出不同置信水平的优化解集合,如表1取一系列水平截集,代入(1)式求出相应的膜厚比。
表1 不同置信水平的优化解集合

根据表1的优化结果,再对这些不同置信水平的优化解进行选优,根据模糊综合评判选取Z佳置信水平。
取约束为λ,目标为:V1—液体润滑,
V2—摩擦系数Z低,
V3—温升Z小。
决断集α=[0,0.1,0.2,0.3,0.4,0.5,0.6,0.7,0.8,0.9,1.0]。
决断集是评价目标好坏的挡次。膜厚比越大,越能满足V1的要求,但当膜厚比超过2.2时继续增大,摩擦系统数增大,根据表1的结果建立相应决断集的隶属度单目标因素评价集为:

目标中各个因素重要程度不同,根据十进制对比建立权重集为:
A=(0.63,0.20,0.17)
得隶属度的合成为:
B=A*Rf=(0,0.17,0.30,0.45,0.58,0.71,0.80,0.82,0.85,0.88,0.89)
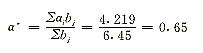
Z后用加权平均求得Z佳水平截集:

再代入(1)式中优化得Z小膜厚比λ*=2.37。即膜厚比大于或等于2.37时可满足目标要求。
一般轴承表面加工粗糙度Ra=0.63~0.32μm,轴颈表面加工粗糙度Ra=0.32~0.16μm,综合粗糙度
,取轴承Ra1=0.63μm,轴颈Ra2=0.32μm,则
δ=0.71μm
得Z小油膜厚度hmin=λ*δ=1.68μm
根据Z小油膜厚度可相应计算出其他参数。
3 结论
本文利用模糊数学优化的基本思想和方法,提出了滑动轴承润滑的模糊优化设计概念,并给出了Z小油膜厚度的求解方法,Z小膜厚比λ*=2.37。根据实例计算得Z小油膜厚度为1.68μm。
作者单位:关凯书 (华东理工大学化工机械研究所)
张 丽 (哈尔滨工业大学威海分校信控系)
王少华 (山东省莱阳市产品质量监督检验所)
参考文献
[1]关凯书,滑动轴承润滑及磨损的模糊因素分析,润滑与密封,1993(2):24-28。
[2]温诗铸,摩擦学原理,北京,清华大学出版社,1990.1。
来源:《润滑与密封》1999年第6期